1) 최대 힙 특성 유지하기
- 최대 힙 특성을 유지하기 위해 MAX-HEAPIFY가 호출된다. 입력은 배열 A와 배열의 인덱스 i다.
MAX-HEAPIFY를 호출할 때 LEFT(i)와 RIGHT(i)를 루트로 하는 이진 트리가 최대 힙이라고 가정하는데,
A[i]가 자식들보다 작아 최대 힙 특성에 어긋나는 일이 생길 수 있다.
MAX-HEAPIFY 프로시저는 최대 힙에서 A[i] 값을 "내려보냄"으로써,
인덱스 i를 루트로 하는 서브 트리가 최대 힙이 되도록 한다.
MAX-HEAPIFY(A, i)
l = LEFT(i)
r = RIGHT(i)
if l<= A.heap-size and A[l] > A[i]
largest = l
else largest = i
if r <= A.heap-size and A[r] > A[largest]
largest = r
if largest != i
exchange A[i] with A[largest]
MAX-HEAPIFY(A, largest)

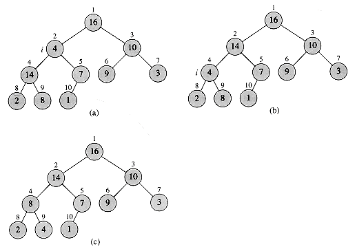
- 위의 그림은 MAX-HEAPIFY의 동작을 설명한다.
각 단계에서 A[i], A[LEFT(i)], A[RIGHT(i)] 중 최대 원소가 정해지고 인덱스를 largest에 저장한다.
A[i]가 최댓값이라면 노드 i를 루트로 하는 서브 트리는 최대 힙이므로 프로시저를 종료한다.
그렇지 않으면 두 자식 중 최대 원소가 있으므로, A[i]를 A[largest]와 교환하여
노드 i와 그 자식이 최대 힙 특성을 만족하게 한다.
- 그러나 이제 largest번째 노드는 원래의 A[i] 값을 가지므로 largest를 루트로 하는 서브 트리가 최대 힙 특성과
맞지 않을 수 있다.
따라서 MAX-HEAPIFY는 그 서브 트리로 재귀 호출되어야 한다.
- 재귀 호출이 일어난다고 가정할 때 주어진 노드 i를 루트로 하고, 크기가 n인 서브 트리에서
MAX-HEAPIFY의 수행시간은 원소 A[i], A[LEFT(i)], A[RIGHT(i)] 사이의 관계를 결정하는
시간 O(1)과 노드 i의 자식 중 하나를 루트로 하는 서브 트리에서 MAX-HEAPIFY를 실행하는 시간을
더한 것이다.
- 자식들의 서브 트리는 최대 크기가 2n/3이다.
따라서 MAX-HEAPIFY의 수행시간은 다음과 같은 재귀 관계식으로 나타낼 수 있다.
T(n) <= T(2n/3) + O(1)
'Introduction to Algorithms' 카테고리의 다른 글
| [Introduction to Algorithms] 퀵 정렬 - 퀵 정렬의 성능 (0) | 2024.06.23 |
|---|---|
| [Introduction to Algorithms] 힙 만들기 (0) | 2024.06.23 |
| [Introduction to Algorithms] 힙 정렬 알고리즘 (0) | 2024.06.21 |
| [Introduction to Algorithms] 퀵 정렬 (0) | 2024.06.21 |
| [Introduction to Algorithms] 위상정렬 (0) | 2024.06.21 |